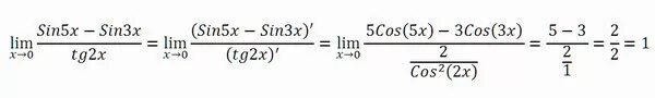
15 sinx 5 sinx 3