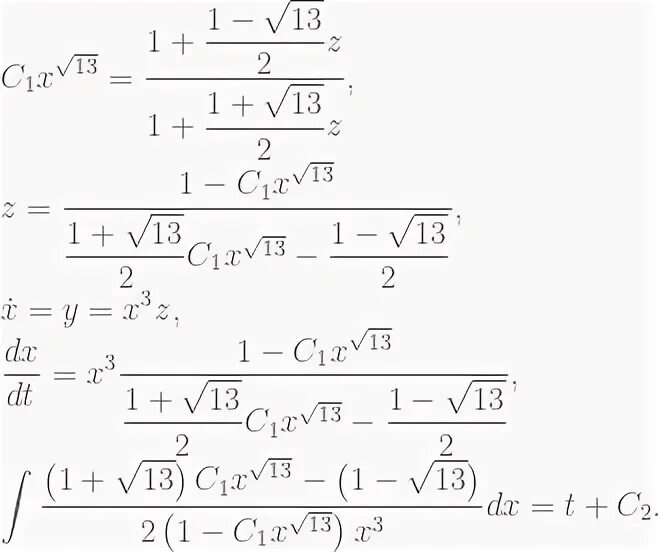
13 sqrt x 1 x 3