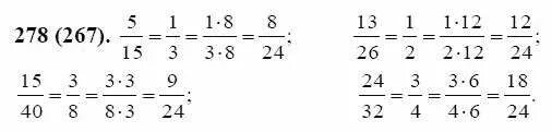
13 26 3 26 13 решение