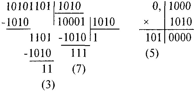
1010 2 в десятичной системе