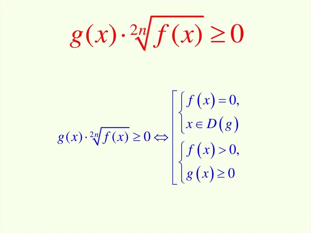
10 примеров иррациональных неравенств