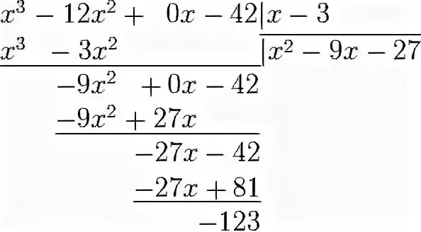
1 выполнить деление многочлена на многочлен