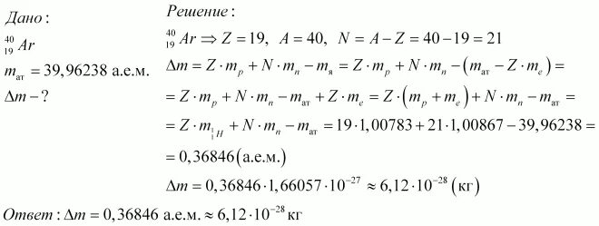
1 вычислить массу атома азота