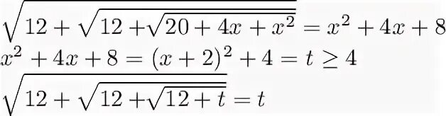
1 sqrt 12 2 5 2