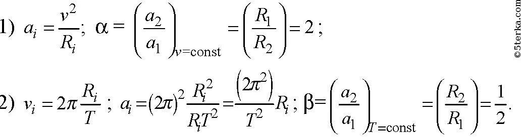
1 р зобщенно