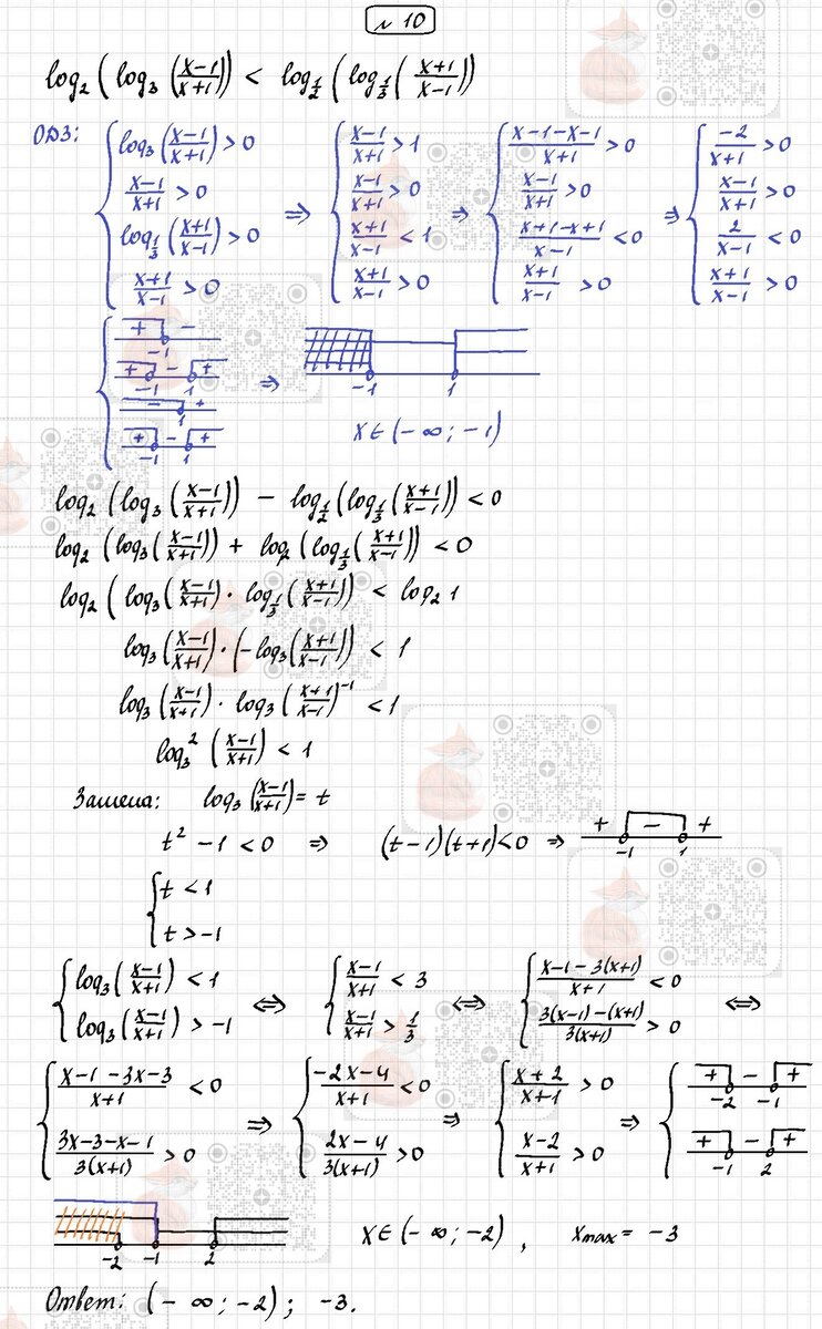
1 4 11 3 1 7 решить