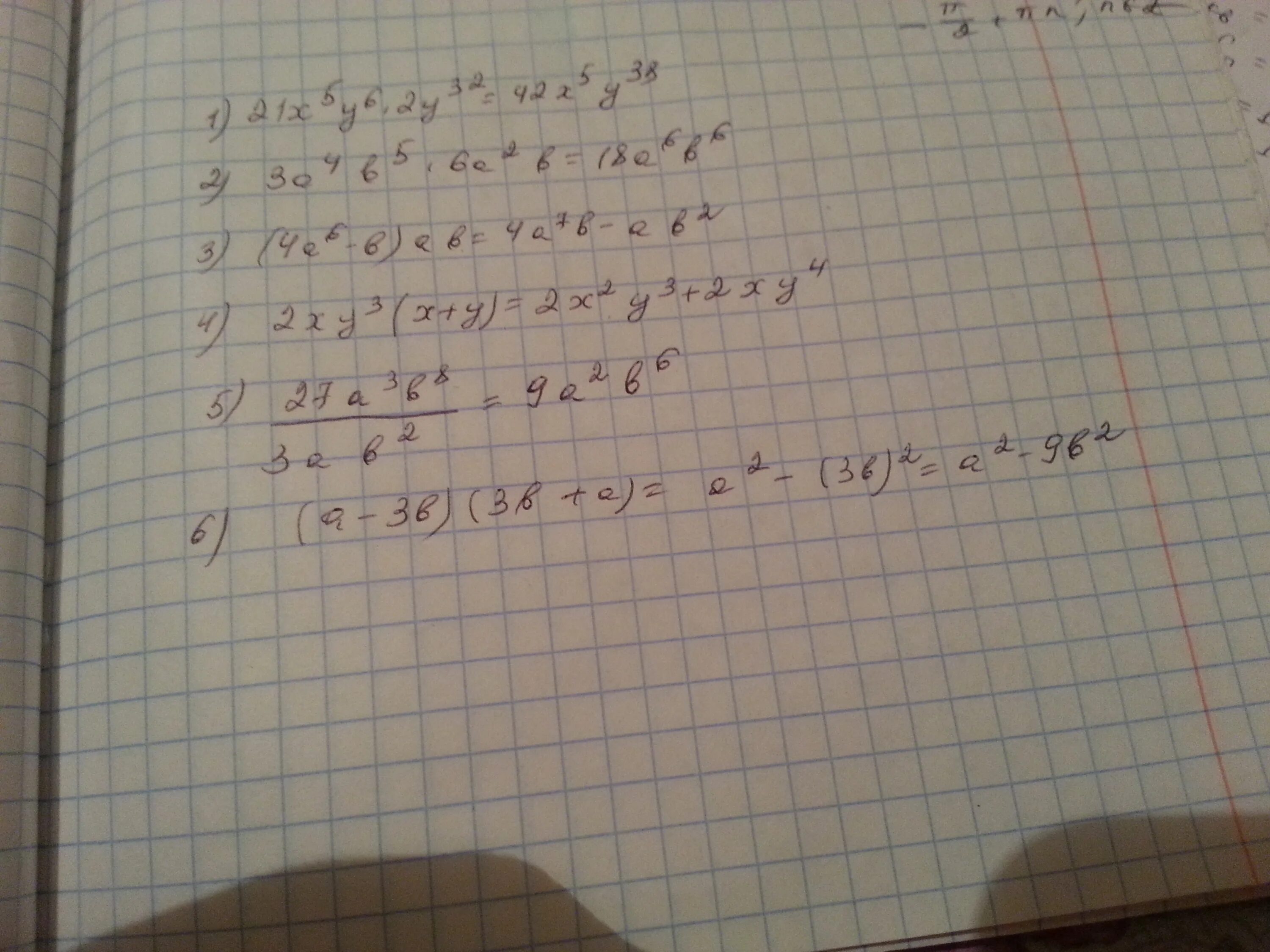
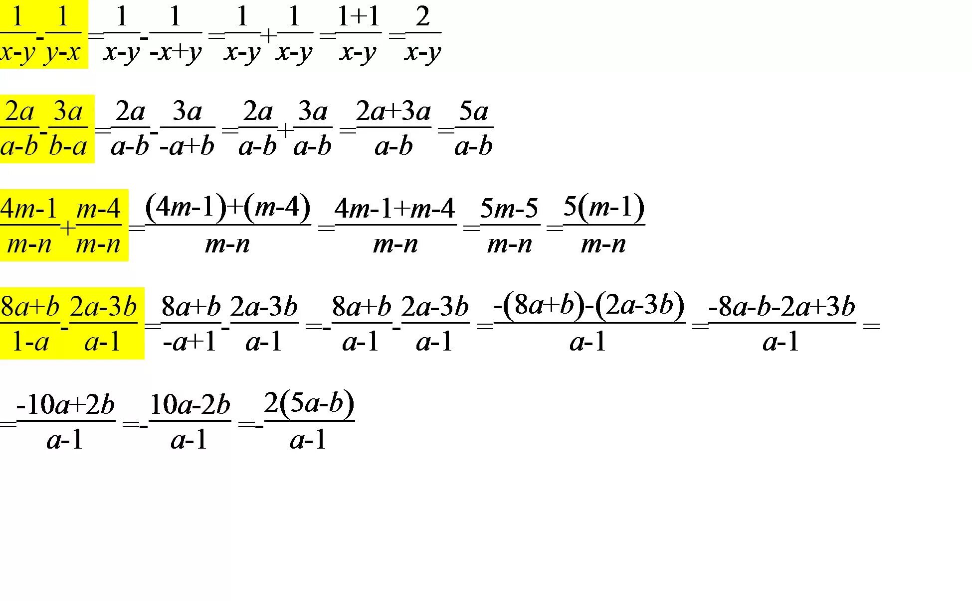
0 1 x b